Time discretization#

class struphy.ode.solvers.ODEsolverFEEC(vector_field: dict, butcher: ButcherTableau = ButcherTableau(algo='rk4'))[source]#

Bases: object

Solver for FEEC coefficients based on explicit s-stage Runge-Kutta methods.

../../_images/explicit_rk_methods.png
Parameters:
  • vector_field (dict) – The vector field of the ODE as a dictionary. Keys are the variables to be updated (i.e. Stencil- or BlockVectors), values are callables representing the respective component of the vector field. That means dy_i/dt = f_i(y_1, …, y_n) for i = 1,…,n, where n is the number of variables.

  • algo (str) – See ButcherTableau for available algorithms.

property vector_field#

The vector field of the ode as a dictionary. Keys are the variables to be updated (i.e. Stencil- or BlockVectors), values are callables representing the respective component of the vector field.

property y#

List of variables to be updated.

property yn#

List of allocated space for initial conditions for each variable.

property butcher#

See ButcherTableau.

property k#

Dictionary of k values for each stage; keys are the variables and values are lists with one allocated k-vector for each stage.

class struphy.ode.utils.ButcherTableau(algo: Literal['rk4', 'forward_euler', 'heun2', 'rk2', 'heun3', '3/8 rule'] = 'rk4')[source]#

Bases: object

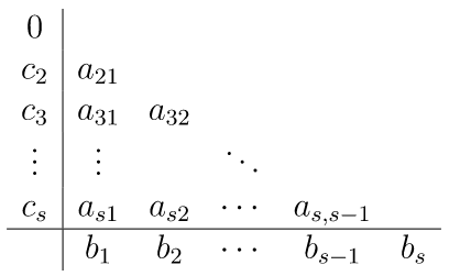
Butcher tableau for explicit s-stage Runge–Kutta methods.

Encodes the coefficients of an explicit Run–Kutta method in the standard Butcher tableau form:

c | a
--+-----
  | b

The tableau image is also included in the project documentation:

../../_images/butcher_tableau.png
Parameters:

algo (LiteralOptions.OptsButcher, optional) – Identifier of the RK method to use. Supported identifiers are defined by struphy.io.options.LiteralOptions.OptsButcher. Defaults to "rk4".

Variables:
  • a (cunumpy.ndarray, shape (s, s)) – Strictly lower-triangular matrix of stage coefficients (a_ij).

  • b (cunumpy.ndarray, shape (s,)) – Weights used to combine stage derivatives into the final update.

  • c (cunumpy.ndarray, shape (s,)) – Stage nodes (time fractions) corresponding to each row of a.

  • n_stages (int) – Number of stages s of the Run–Kutta method.

  • conv_rate (int) – Formal order of convergence of the method.

Notes

  • Arrays are stored using the project’s array module cunumpy (imported as xp) so they behave like numpy arrays but can be swapped for other array backends if configured.

  • Only explicit (strictly lower-triangular a) Run–Kutta methods are supported. Passing an unsupported algo raises NotImplementedError.

Examples

>>> bt = ButcherTableau("rk4")
>>> bt.n_stages
4
>>> bt.b  
array([1/6, 1/3, 1/3, 1/6])
algo: Literal['rk4', 'forward_euler', 'heun2', 'rk2', 'heun3', '3/8 rule'] = 'rk4'#
__available_methods__ = ('rk4', 'forward_euler', 'heun2', 'rk2', 'heun3', '3/8 rule')#
property a#

Characteristic coefficients of the method (see tableau in class docstring).

property b#

Characteristic coefficients of the method (see tableau in class docstring).

property c#

Characteristic coefficients of the method (see tableau in class docstring).

property n_stages#

Number of stages of the s-stage Runge-Kutta method.

property conv_rate#

Convergence rate of the s-stage Runge-Kutta method.